Lagrange Error Bound
It's also called the
Lagrange Error Theorem, orTaylor's Remainder Theorem.
To approximate a function more precisely, we'd like to express the function as a sum of a Taylor Polynomial & a Remainder.
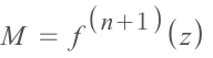
(▲ For T is the Taylor polynomial with n terms, and R is the Remainder after n terms.)
▲Jump back to review the note on Error estimation Theorem.
►Jump over to have practice at Khan academy: Lagrange Error Bound.
The tricky part of that expression is to "preset" the accuracy of the Error, aka. the Remainder.
For bounding the Error, out strategy is to apply the Lagrange Error Bound theorem.
Simply saying, the theorem is:
If a function's ALL DERIVATIVES are bounded by a number over the interval
(C, x):
(▲ for
Cis the centre of approximation)where the max value of all derivatives of the function is:

(▲ for
zis any value betweenCandxmakes the derivative to the max)(▲ and note that: the input has to be
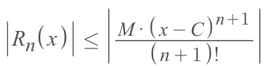
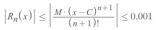
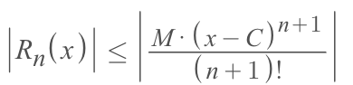
n+1)then the function's Remainder MUST satisfy this theorem:

Example
Solve:
This problem is to approximate a function with Taylor Polynomial.
To do so, we're to set use the
Error estimationmethod, which first to set up the equation:
In this case, it is:

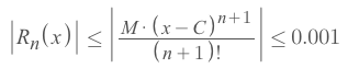
Since it's only asking for the
error bound, so we only focus on the ErrorRn.We want to apply the
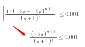
Lagrange Error Bound Theorem, and bound it to0.001:
For those unknowns variables in the theorem, we know that:
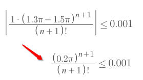
The approximation is centred at
1.5π, soC = 1.5π.The input of function is
1.3π, sox = 1.3π.For The
Mvalue, because all the derivatives of the functioncos(x), are bounded to 1 even without an interval , so let's say the max valueM = 1.
Therefore, the formula of this theorem becomes:

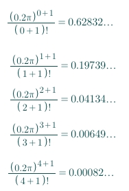
Unfortunately, at this moment we don't have easier method to solve for
nexcept trying some numbers in:
We could see that, with the degree gets larger and larger, the
Errorbecomes smaller and smaller.Only until
n=4, which means the4th derivative, theErroris less than0.001.So the answer is
4th derivative.
Example
Solve:
Same with the problem above, we want to apply the
Lagrange Error Bound Theorem, and bound it to0.001:
For those unknowns variables in the theorem, we know that:
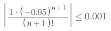
The approximation is centred at
0because it's told as aMaclaurin Series, soC = 0.The input of function is
-0.95, sox = -0.95.The interval is (C, x) or (x, C), which is
(-0.95, 0)in this case.
For The
Mvalue, since all the derivatives ofeˣis justeˣ, andeˣis unbounded at all, so we're to examine the Max value over the interval(-0.95, 0)With the help from
Desmos Calculator, we know that over the interval(-0.95, 0), the max value ofeˣise⁰ = 1:
So boundary is
M = 1.Therefore, the formula of this theorem becomes:

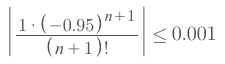
In this case, we need to try some numbers for
nto get the desired value:
After tried
n=5andn=6, we could see that only untiln=6, which means the6th derivative, theErroris less than0.001.So the answer is
6th derivative.
Example
Solve:
Same with the problem above, we want to apply the
Lagrange Error Bound Theorem, and bound it to0.001:
For those unknowns variables in the theorem, we know that:
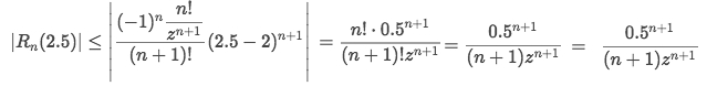
The approximation is centred at
2, soC = 2.The input of function is
2.5, sox = 2.5.The interval then is
(2, 2.5).
For the
Mvalue, it's not easy to figure out, but we've been told the formula for derivative.
So the expression for
Mwould be:Let's directly plug in the
Mexpression into the Remainder:
With the help from
Desmos grapherwe know that when within the interval2≤ z ≤ 2.5, thatz=2makes the formula to the max:
So let's set the inequality:

After trying out some number for
n, we get thatn ≥ 3.
Last updated