Improper Integral
After learning Definite Integral, Indefinite Integral, now it's Improper Integral. The major difference between them is their Boundaries.
The
improper integralmeans the integral's boundary or boundaries are infinite, ∞ (or -∞).
Refer to Khan academy: Introduction to improper integrals Refer to Improper Integrals (KristaKingMath)
It looks so fearful yet not too hard to understand.

Types of Improper Integral
Types of Improper IntegralRefer to video from ProfRobBob: Improper Integrals 5 Examples
There're 6 cases of different improper integral:
Case 1: From a
constanttopositive infinity.
Case 2: From
negative infinityto aconstant.
Case 3: From
negative infinitytopositive infinity.
Case 4: From
0toe.
Case 5: From a
constantto aconstant, but has aninfinite discontinuity.
Case 6:
Convergent & Divergent
Convergent & DivergentWe can call an improper integral:
Divergent: When the limit of the improper integral DOES NOT EXIST.Convergent: When the limit of the improper integral EXISTS.
Solve Improper Integrals
Solve Improper IntegralsBasic Strategy:
Replace the
infiniteas a variable, etc.tRewrite the expression as taking the limit of the Integral, whereas the
t → ∞Calculate the Integral with a normal variable first, and gets the result function.
Calculate the limit of the function
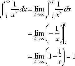
Type 1
Solve: 
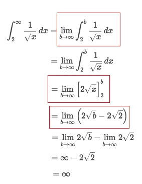
Type 2
Solve:
Rewrite the improper integral to limit form:

Do the basic calculation.
The key point is:

Type 5
Solve: 
Last updated