Convergence Tests
Divergent Test

Integral Test
p-series Test

Direct Comparison Test

Limit Comparison Test

Ratio Test

Root Test

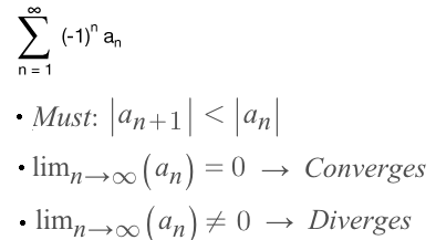
Alternating Series Test

Absolute Convergence & Conditional Convergence

Last updated