L'Hopital's Rule

Example of 0/0
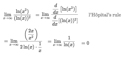
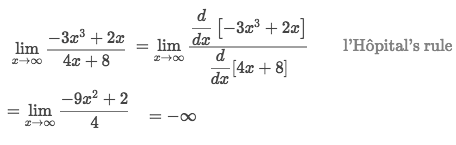
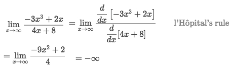
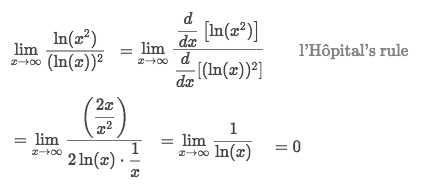
0/0Example of ∞/∞
∞/∞Example of 1^∞
1^∞L'Hopital Rule for Composite functions
L'Hopital Rule for Composite functionsExample of composite exponential function
Last updated








