Limits at infinity
No matter why kinds of Limits you're looking for, to understand it better, the best way is to read the Step-by-Step Solution from Symbolab: [Limit Calculator from Symbolab.](https://www.symbolab.com/solver/limit-calculator/\lim_{x\to\infty}\left(\frac{6x^{2}-x}{\sqrt{9x^{4}%2B7x^{3}}}\right))
Rational functions
Rational functionsThe KEY point is to look at the powers & coefficients of Numerator & Dominator. Just the same with
Finding the Asymptote.
Refer to previous note on the How to find Asymptote.

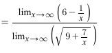
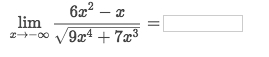
Example
Solve:
Quotients with square roots
Quotients with square rootsThe KEY point is to calculate both
numerator & dominator, then calculate the limit of EACH term with in the square root.
Example
Solve: [Refer to Symbolab step-by-step solution.](https://www.symbolab.com/solver/limit-calculator/\lim_{x\to\infty}\left(\frac{6x^{2}-x}{\sqrt{9x^{4}%2B7x^{3}}}\right))
Divide by highest dominator power to get:

Calculate separately the limit of
Numerator&Dominator:
Calculate the
Square root: Need to find limits for EACH term inside the square root.


Then get the result easily.
Quotients with trig
Quotients with trigThe KEY point is to apply the
Squeeze theorem, and it is a MUST.
Example
Solve:
Know that
-1 ≦ cos(x) ≦ 1, so we can tweak it to apply thesqueeze theoremto get its limit.Make the inequality to:
3/-1 ≦ 3/cos(x)/-1 ≦ 3/1Get that right side
3/-1 = -1and left side3/1 =1is not equal.So the limit doesn't exist.
Easier solution steps:
Know the inequality
-1 ≦ cos(x) ≦ 1Replace
cos(x)to±1in the equation,3/±1.Calculate limits of two sides.
If the results are exactly the same, then the limit is the result; Otherwise the limit doesn't exist.
Example
Solve:
Know that
-1 ≦ sin(x) ≦ 1Replace
sin(x)as±1Left side becomes
(5x+1)/(x-5), right side becomes(5x-1)/(x-5)Both sides' limits are
5, so the limit exists, and is5.
Last updated