Integration using Trig identities
The goal is to convert the multiplication of terms to be addition of simple terms.
▶ Cheatsheet on previous note: Basic Integral Rules ▶ Cheatsheet on previous note:Basic Differential Rules ▶ Cheatsheet on previous note: All trig identities ▶ Back to previous note on: U-substitution → Chain Rule
Refer to Khan academy: Integrating using trigonometric identities
Example
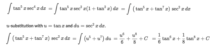
Solve:
We can identify there's a
Integral trig rulewe can apply on this problem:
Therefore we're gonna organize it a bit with
u-substitutionand get the answer:
Example
Solve:
This integrand has an odd power of
sin(x), so we're gonna leavesin(x)alone and make an even power forsin(x), then makeu-substitutionupon it:
And also we need to change the boundaries for the integral:

Now we can start to integrate:

Example
Solve:
We're gonna use a
trig-integral-ruleand atrig identity:
Then apply them:

Last updated