Implicit differentiation
Bit hard to understand it in the first place.

What is Implicit & Explicit Function
What is Implicit & Explicit FunctionRefer to video by Krista King: What is implicit differentiation?
Explicit function: it's the normal function we've seen a lot before, which's in the form ofy = x....Implicit function: it't NOT YET in the general form of a function and not easily separated, likex² + y² = 1
So knowing how to differentiate an implicit function is quite helpful when we're dealing with those NOT EASILY SEPARATED functions.
How to Differentiate Implicit function
How to Differentiate Implicit functionRefer to video: Use implicit differentiation to find the second derivative of y (y'') (KristaKingMath) Refer to video by The Organic Chemistry Tutor: Implicit Differentiation Explained - Product Rule, Quotient & Chain Rule - Calculus
Refer to Symbolab: Implicit Derivative Calculator
Assume you are to differentiate Y WITH RESPECT to X, written as dy/dx:
Differentiate terms with
Xas normalDifferentiate terms with
Yas the same toX, BUT multiply by(dy/dx)Differentiate terms MIXED with
X & Yby usingProduct Rule, then differentiate each term.
How to differentiate Y with respect to X
How to differentiate Y with respect to X
How to differentiate term MIXED with both X & Y
How to differentiate term MIXED with both X & Y
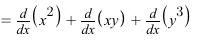
Example
Solve: Refer to Symbolab: Implicit Derivative Calculator
Treat
yasy(x)Apply the Sum Rule:

Apply the normal rules to
X term, andApply the Product Rule to the
Mixed term, andApply the Chain Rule to the
Y term:
Operate the equation and solve for
dy/dx, and get:
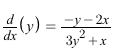
Example
Solve:
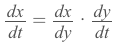
First thing we need to find the RIGHT equation of Chain rule. Since it's asking us to find
dy/dt, so we will re-write it to this one to form an equation:
Then since we've given the
dx/dt = -3, we only need to find out thedy/dxto get the result.We've got an equation of
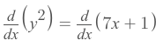
x & y, regardless whom it's respecting to. So we can do eitherImplicit or Explicit differentiationto the equationy²=7x+1, with respect toy:
Use the implicit differentiation method, we got the
dy/dx = 7/2yAnd since
y=6, so7/2y = 7/12Back to the Chain Rule equation, we get
dy/dt = 7/12 · (-3) = -7/4 = -1.75
Example
Solve:
Remind you that, in this problem, it's NOT respecting to
xanymore, so you need to change mind before getting confused.First thing we need to find the RIGHT equation of Chain rule. Since it's asking us to find
dx/dt, so we will re-write it to this one to form an equation:
Then since we've given the
dy/dt = -0.5, we only need to find out thedx/dyto get the result.We've got an equation of
x & y, regardless whom it's respecting to. It seems easier to differentiate explicitly:
Then we use
d/dxto differentiate the equation to get:dx/dy = y⁻² = (0.2)⁻² = 25Back to the Chain Rule equation, we get
dx/dt = dx/dy · dy/dt = 25 * (-0.5) = -12.5.
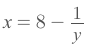
Example
Solve (Same with above examples):
Form an equation:

dx/dthas been given equals to5, so just to find outdy/dx:
And get:


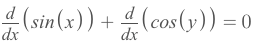
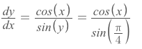
Now let's see what is
sin(x)equal to:
All done.
Vertical & Horizontal Tangents of Implicit Equations
Vertical & Horizontal Tangents of Implicit Equations► Jump over to Khan academy for practice.
Example
Solve:
Plug in
y = 0into the equation and get thatx = -6, which is the answer.
Example
Solve:
To have a
Vertical Tangent, we have to let the derivative becomeUndefined,which in this case is to let the denominator equal to zero:

Solve this equation out we get that
x = 3y², which means this relationship is true at the point of vertical tangent line.Plug that back to the original function to get
y = -1, which means the vertical tangent goes through this point.Substitute y back and get
x = 3The answer is
(3, -1).
Last updated