Definite Integrals
DEFINITE means it's defined, means both two boundaries are constant numbers.
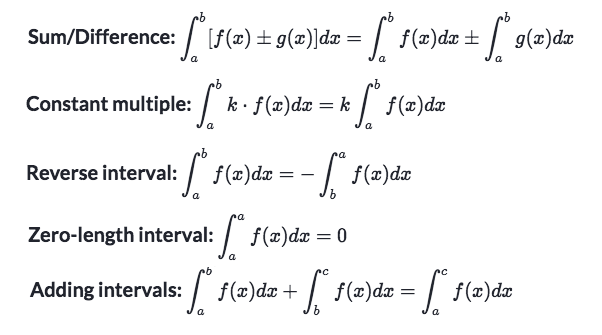
Definite integrals properties
Definite integrals propertiesRefer to Khan academy article: Definite integrals properties review

Definite integral ←→ Limit of Riemann Sum
Definite integral ←→ Limit of Riemann SumExample
Solve:
It's easy to find
Δx = (π-0)/n = π/nAnd
x𝖎 = S(𝖎) = a + 𝖎·Δx = 0+𝖎·Δx = 𝖎·π/nSo the result is:

Example
Solve:
Look at the boundaries, it's from
0 -> 5,So the
Δxmust be cut tonpieces, whereasΔx = (5-0)/n = 5/nFrom the definition, We know the function
f(x) = x+1To fill in the
x𝖎inf(x𝖎), we need to figure out the sequence:Sequence
x𝖎 = S(𝖎) = a+𝖎·Δx, and sincearepresents the bottom boundary,So
x𝖎 = 𝖎(0+Δx) = 𝖎·5/nGet
x𝖎back inf(x)to have:
Example
Solve:
We could easily get that the
Δx = 5/nAnd the function is
f(x) = ln(x)Since the
Δxcomes from Top & Bottom boundaries,So
Δx = (Top - Bottom)/n = 5/n = (Top - 2)/n,And we get the
Top = 7, and the Definite Integral is:
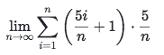
Example
Solve:
See the
i=1means it's usingRight Riemann Sum, so the integral would be:
The
Δx = 9/nis easily seen.And we need to get the Sequence
x𝖎 = S(𝖎) = a + (𝖎-1)·Δx = (𝖎-1)·9/nWhat we got there above, tells us
a=0.According to that
Δx = (b-a)/n = (b-0)/n = 9/n, we getb = 9So the answer is:

Last updated