Power Series
Try to think
Power series = Geometric Series.
►Refer to Math24: Power series
Power series is actually the Geometric series in a more general and abstract form.

For easier to remember it, that could be simplified as:

In this function it's critical to know that: a_n IS A CONSTANT NUMBER! NOT A VARIABLE !
Differentiate Power series
Differentiate Power series►Refer to Khan academy: Differentiating power series
We have 2 ways to differentiate series, they work same way:
One way is to expand the series with real numbers (1,2,3...) and take their derivatives:

(▲Note that this is constantly true for power series.)
Another way is to calculate the term's derivative and then plug in the real numbers (1,2,3):

Either way will do, it depends on the actual equation for you to choose which way you're gonna use.
Example
Solve:
Let's organize this function to make it clear:

Example
Solve:
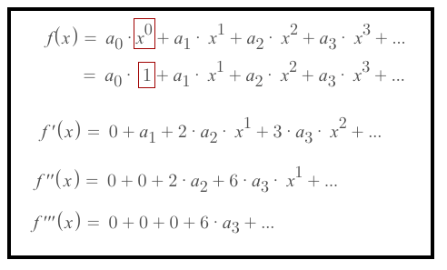
Notice that: If we plug in the
x=0at beginning, everything will be0and we don't have anything to calculate.So Let's keep the
xin the terms until the last step.It's easier to
expand the series with real numbers, and we're to try 3 or 4 terms in this case.Because at the end of it you'll notice, if we're doing
Third Derivative, then more than 3 terms will just bring more0s.First we're to organize the function in the standard power series form:

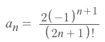
And the constant number
a_nin the function is:
Let's plug in the real number (0,1,2,3,4) for
nto expand the series:
Based on that we can take the derivatives:

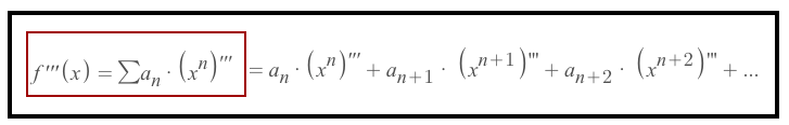
Now we've got the
third derivative, so let's plug in thex=0and see what we get:
And that's the answer.
And now you know why in this case it's a waste to calculate more terms.
Integrate Power Series
Integrate Power SeriesExample
Solve:
Knowing that
Integrate a seriescan be turned toa series of Integrations of terms:
Integrate the terms:

And we get a simple
Geometric series. So that we can apply the formula of calculating geometric series:
Let's apply the formula:

Integrals & derivatives of functions with known power series
► Jump over to have practice at Khan academy.
Example
Solve:
Let's assume the function of the series above is
f(x), and the series below isg(x)It's clear to see that the
g(x) is theAntiderivativeof thef(x)`.So we just need to integrate the function of the
f(x):
We see that the
antiderivativecan represent theg(x), but only with theCin it:
So we need to solve for
C. The easiest way is to plug in0forg(x):
Then the answer is:

Example
Solve:
Set the two series as
f(x)andg(x).It's clear that
g(x) = -f'(x).So by differentiate
f(x)we will get:
Then
-f'(x)would be:
Last updated