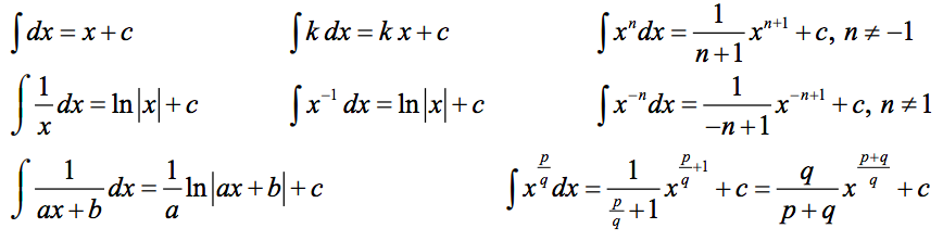
Basic Integral Rules
Basic Rules
Basic Rules
Reversed Polynomial Rules
Polynomial Rules
Reversed Exponential / Log Rules
Exponential / Log Rules
Reversed Trig Rules
Trig Rules
Reversed Inverse Trig Rules
Inverse Trig Rules
Special Rules
Special Rules

Last updated