Comparison Test
You can understand
Comparison Testintuitively as aSandwich Test.
THIS TEST IS GOOD FOR RATIONAL EXPRESSIONS.
Direct Comparison Test
Direct Comparison TestAssume that we have a series a_n, and we're to make up a similar series to it as b_n:
The logic is:
If
b > a&bconverges, thenaconverges as well.If
a > b&bdiverges, thenadiverges as well.
It's so much easier if you think it graphically.
▼Refer to video: Comparison Test (KristaKingMath)

▼Refer to xaktly: Comparison Test 
Example
Solve:
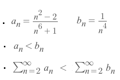
Assume the asked series as
a_n, and we make up a very similar series bigger than it, asb_n:
Apply the
p-series testwe get that theb_nconverges.Since
a_n < b_n, so according to theSandwich test (Direct comparison test),a_nconverges as well.
Limit Comparison Test
Limit Comparison TestLimit comparison test is like an extension when the Direct comparison test won't work. etc., when we compare a with b, although b converges but a > b, so we can't make any conclusion. And that's where the limit comparison test comes in place.
The logic is:
Take the limit of the division
a/b.If the
Limit > 0, then they both converges or both diverges.If the
Limit ≤ 0, then there's no conclusion.
►Jump over to Khan academy for practice: Limit comparison test
▼Refer to video: Limit Comparison Test (KristaKingMath) 
▼Refer to xaktly: Limit Comparison Test 
Example
Solve: 
Example
Solve:
We can't easily tell in the comparison who's greater, so we decide to apply the
limit comparison test:
Last updated