Derivative of Inverse functions

IT'S DERIVED FROM THE
CHAIN RULE:

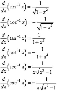
Derivative of Inverse Trig functions
Derivative of Inverse Trig functions
Example
Solve:
For solving this
derivative of an inverse function, we'd use the identity:
Apply it we get:

Last updated