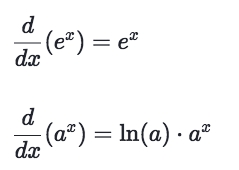
Derivative of exponential functions
Derivative of exponential functions
Derivative of exponential functions
It's save a lot of time of life not to dig in how mathematicians developed these formulas. If you do want to, refer to Khan's lecture: Exponential functions differentiation intro
Reminder: Don't forget it's a composite function
and you need to apply the chain rule.

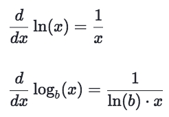
Derivative of log functions
Derivative of log functions

Examples
Find the derivative of: Solve:

Last updated