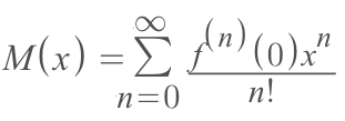
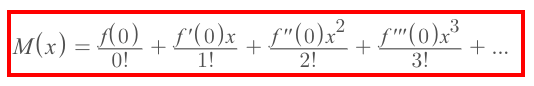
Maclaurin Series
It's also called
Maclaurin polynomials.
Maclaurin series is a special case of Taylor Series which centres at x=0.

▼Expand it we'll understand it better: 
▼Here is a graph we're trying to approximate a function centred at x=0: 
Example
Solve:
This problem is to test if you're familiar with the
Maclaurin Series Formula.Let's ignore all others and only see the asked
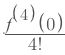
x⁴.x⁴means we're gonna find out the term of the4th derivative, and plug in 4 into the formula, we'll get the term:
It's asking for the coefficient of
x⁴, which is the rest part in that formula for the term:
And we only need to find out what is the value of the
4th derivative.By the given formula of
gᴺ(0), we can get:
So the coefficient will be:

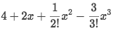
Example
Solve:
We know the
Maclaurin seriesis a Taylor series centred atx=0, and the formula is:
It's told to list 4 terms, so we plug in the given value of
f', f'', f'''and get:
And we get the answer:

Evaluate Maclaurin Series
To evaluate a Maclaurin series, we need to convert the series to a function, and then evaluate the function.
▼Jump forward to have a look at the note: Maclaurin Series of Common functions
Last updated