U-substitution → Chain Rule

How to select u
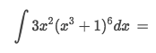
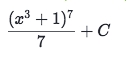
Example
Example
How to calculate Indefinite Integral with u-substitution
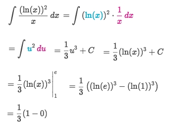
Example
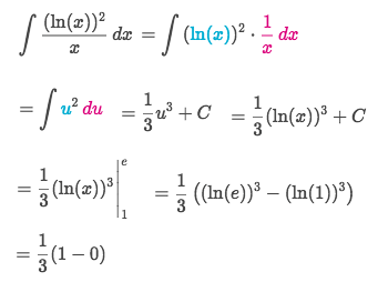
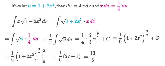
How to calculate Definite Integral with u-substitution
Example
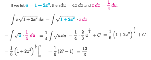
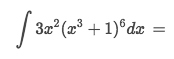
Example (self-made u')
Example (Inverse Trig Rule)
Last updated










