Calculate Integrals
Calculate Indefinite Integrals
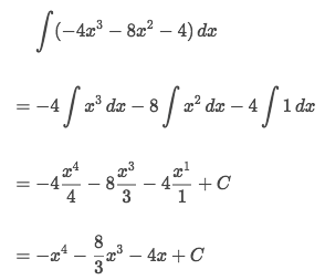
Calculate Indefinite IntegralsExample
Integration using completing the square

Example
Example
Calculate Definite Integrals
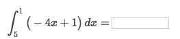
Calculate Definite IntegralsExample

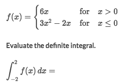
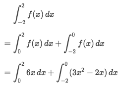
Example (piecewise integration)
Example (Absolute value)
Last updated












