Infinite Geometric Series
Common Formula (Finite & Infinite)

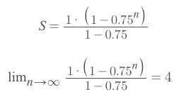
Infintite Formula

Determine the Infinite Geometric Series Converges or Diverges
Example
Evaluate Infinite Geometric Series
Example
Last updated



