Basic Differential Rules

▼Refer to Math is fun: Derivative Rules
Rules
Function
Derivative
Constant
c
0
With constant
c·f
c·f’
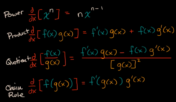
Power Rule
xⁿ
n·xⁿ⁻¹
Sum Rule
f + g
f’ + g’
Difference Rule
f - g
f’ − g’
Product Rule
f · g
fg’ + f’ g
Quotient Rule
f / g
(f’g − g’f ) / g²
Reciprocal Rule
1 / f
−f’ / f²
Chain Rule
f(g(x))
f’(g(x)) · g’(x)
Exponent Rule
eˣ
eˣ
aˣ
aˣ · ln(a)
Log Rule


Natural Log Rule
ln(x)
1/x
Exponential Rule


Trig Rules
sin(x)
cos(x)
cos(x)
−sin(x)
tan(x)
sec²(x) = 1/cos²(x)
sec(x)
sec(x)·tan(x)
csc(x)
-csc(x)·cot(x)
cot(x)
−csc²(x) = -1/sin²(x) = -(1+cot²(x))
Inverse Trig Rules
arcsin(x)
1/√(1−x²)
arccos(x)
−1/√(1−x²)
arctan(x)
1/(1+x²)
Last updated
