Existence Theorems
Existence theorems includes 3 theorems:
Intermediate Value Theorem
,Extreme Value Theorem
,Mean Value Theorem
.
Refer to Khan academy: Existence theorems intro

Intermediate Value Theorem (IVT)
Intermediate Value Theorem (IVT)
The IVT is saying:
When we have 2 points connected by a continuous curve: one point below the line, the other point above the line, then there will be at least one place where the curve crosses the line!

Refer to Maths if fun: Intermediate Value Theorem Refer to video: Intermediate Value Theorem Explained
Find roots by using IVT
IVT
is often to find roots
of a function, which means to find the x value when f(x)=0
. So for finding a root, the definition will be:
If
f(x)
is continuous and has an interval[a, b]
, which leads the function thatf(a)<0 & f(b)>0
, then it MUST has a pointf(c)=0
between interval[a,b]
, which makes a rootc
.
Example
Tell whether the function f(x) = x² - x - 12
in interval [3,5]
has a root. Solve:
We got that at both sides of intervals:
f(3)=-6 < 0
, andf(5)=8 > 0
So according to the Intermediate Value Theorem, there IS a root between
[3,5]
.Calculate
f(c)=0
get the rootc=4
.
Extreme Value Theorem (EVT)
Extreme Value Theorem (EVT)
The EVT is saying:
There MUST BE a
Max & Min
value, if the function is continuous over the closed interval.

Refer to Khan lecture: Extreme value theorem Refer to video: Extreme Value Theorem
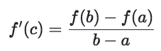
Mean Value Theorem (MVT)
Mean Value Theorem (MVT)
Refer to Khan academy article: Establishing differentiability for MVT
The MVT is saying:
There MUST BE a
tangent line
that has the same slope with theSecant line
, if the function is CONTINUOUS over[a,b]
and DIFFERENTIABLE over(a,b)
.
Which also means that, if the conditions are satisfied, then there MUST BE a number c
makes the derivative is equal to the Average Rate of Change
between the two end points.

Conditions for applying MVT:
Continuous over interval
(a, b)
Differentiable over interval
[a, b]

Example
Solve:
He's totally right.
Last updated