Separable Differential Equations
This section is an essential method for solving differential equations. Especially about the initial condition, it is the critical information for getting the original function.
Example
Solve:
No we can't. Because:

Example
Solve:
First to transfer same terms to the same side.
Then take integral of each side
Operate to get
y
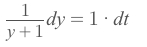
Example
Solve:
We could easily get the derivative of second equation is
y' = -2/3.Let's see if two of the derivatives are equal by substitute back the
yexpression:
Clearly they're equal. So the answer is
YES.
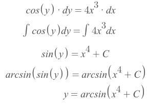
Example
Solve:
Move the same terms to each side:

Take integral of both side:

Get that:

Plug in
y(0) = 3to getC=4, so the equation then be:
Set
y=1and gett = ln(1/2) = -ln(2)
Exponential model equations
►Jump to Khan academy for practice
►Refer to Khan academy: Worked example: exponential solution to differential equation
Example
Solve:
Rewrite the equation, and take integral of both side:

And we get:

Let's plug in
g(3)=2to solve forC:
Take
Cback and get the equation forg(x):
Example
Solve:
We are told that the rate of change of P is proportional to P, which means in Math is:

It's clear that is a
Differential Equation, and we rewrite them and take integral of both side to get:
Solve for
C:
Solve for
k:
get the
k:
Now we have the full equation, and get the result:

Last updated