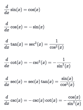
Derivatives of Trig functions

Reminder of Trig identities & Unit circle values
# Reciprocal and quotient identities
tan(θ) = sin(θ) / cos(θ)
csc(θ) = 1/sin(θ)
sec(θ) = 1/cos(θ)
cot(θ) = 1/tan(θ)
Last updated