Taylor Series
Taylor series, or Taylor polynomial is a series that can REPRESENT a function, regardless what function it is.
▼Refer to 3Blue1Brown for animation & intuition: Taylor series | Chapter 10, Essence of calculus
"Taylor Series is one of the most powerful tools Math has to offer for approximating functions." - 3Blue1Brown
►Refer to Khan academy: Taylor & Maclaurin polynomials intro (part 1) ▼Refer to xaktly: Taylor Series 
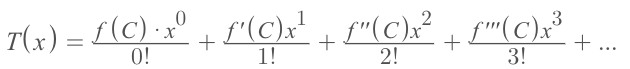
(▲ C represents the centre where we're centred at to approximate the function.)
▲ Notice: The
Taylor Seriesis aPower Series, which means we can use a lot of techniques of power series on this to operate it easily.
We could expand it and make it clearer ▼: 
The main purpose of using a Taylor Polynomial is to REPLACE the original function with a polynomial, which it is easy to work with.
etc., we can express the function f(x) = eˣ as ▼: 
More importantly, by adding more & more terms into the polynomial, we can approximate the function more precisely:
►Refer to joseferrer: Mathematical explanation - Taylor series ►For More animation, visit Desmos: Taylor Series Visualization

Example
Solve:
First to know the formula of
Taylor Seriescentred atx=1:
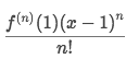
The problem is asking the coefficient of
(x-1)³, means all the rest part in the formula, which is:
And it also means the
n=3, so the coefficient becomes:
Let's evaluate the
f'''(1):
So the coefficient is:

Example
Solve:
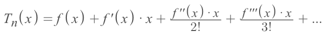
Let's express the Taylor polynomial to the
nth degreeas:
Since it's asking for the series to the
3rd degree, then it becomes:
And we only need to find out every degree of derivatives, and we will get:

So the Taylor polynomial then is:

Last updated