Error Estimation of Alternating Series
It's also called the
Remainder Estimation of Alternating Series.
This is to calculating (approximating) an Infinite Alternating Series: 
►Jump over to Khan academy for practice: Alternating series remainder
►Refer to The Organic Chemistry Tutor: Alternate Series Estimation Theorem ►Refer to Mathonline: Error Estimation for Approximating Alternating Series ►Refer to mathwords: Alternating Series Remainder
The logic is:
First to test the series' convergence.
If the series CONVERGES, then we can proceed to calculate it by Error Estimation Theorem. Otherwise we aren't able to.
We can express the series as the
sum of partial sums & infinite remainder:
(▲
Snis the first n terms, andRnis from the n+1 term to the rest terms.)And the "structure" in the
partial sum&remainderis:
With a little twist, we will get the whole idea:

(▲Since the Rn is the gap between
S & Sn, so we call itThe Error)▼ And the theorem is:
The RemainderMUST NOT be greater than itsfirst term:
▼Actual sum = Partial sum + Remainder: refer to Khan academy: Alternating series remainder

Sign & Size of Error
Sign & Size of Error►Refer to Khan academy: Alternating series remainder ►Refer to Khan academy: Worked example: alternating series remainder
For the Remainder series, its FIRST TERM is always DOMINATING the whole remainder:
It dominates the remainder's SIGN: positive or negative.
It dominates the remainder's SIZE: the whole remainder's absolute value CAN'T BE greater than the first term.
Based on the error's sign, we could tell the approximated series is UNDERESTIMATED or OVERESTIMATED:
If
Error > 0, then the approximated series is Underestimate.If
Error < 0, then the approximated series is Overestimate.
Bound the Error (accuracy control)
Bound the Error (accuracy control)The error bound regards to the accuracy of the approximated series, and we want to control the accuracy before approximation.
►Refer to Khan academy: Worked example: alternating series remainder
We have 2 ways to bound the error in a range:
Set up how small we want the
errorto be, orSet up how many terms we want to have in the partial sum
Sn.
Bound by terms
The Larger n → The smaller gap → The lesser Error → The more accurate.
Strategy:
We could set the
partial sumto include a certain number of terms, etc.100 termsAnd the first term of Remainder should be the
101st term.The
error bound, or theerroris dominated by the first term.So we say the
error boundIS the value of the101st term.
Bound the error
To bound the error in a range, we often say:
"Approximate the series to the 2 decimal places",
"Let the error be less than 0.01",
"We want the accuracy within ±0.01"
What they mean are the same: 
▲ And by solving the inequality, we will get the scope for n, then get the Smallest Integer of n in that scope.
Example
Solve:
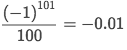
First to notice, the
partial sumis already set to100terms, so we're to control accuracy bybound the terms.So the
errorshould be from the101st termto infinity.But the
error boundis actually dominated by the first term of the error.So the
error bound = the value of 101st term:
We could say that: The
error boundis negative, and negative error causes overestimation.
Example
Solve:
It's clear this is a
alternating series.So we want to do the
alternating series testfirst, and it passed, which means it converges.Since the series converges, we can do further approximation.
See that we don't know how many terms are in the
partial sum, and only know how much accurate we'd like.So we're to approximate by
bound the error, and find out the terms.Apply the
Error Approximation Theorem, assume the first term of remainder isa_(n+1):
Solve out the inequality to get
n ≥ 999,999And
999,999the smallest integer ofnto make the series converges with 2 decimal accuracy.
Last updated