Partial fractions → Log Rule
A technique for integrating
Rational functions.
▶ Jump back to previous note on Partial fractions.
▶Refer to Khan academy: Partial fraction expansion to evaluate integral
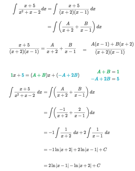
Example
This process is to break down the Rational Function to some simple fractions, which assume there are A & B leads to a system of equation:
(A+B)·x + (B-A) = 1·x + (-4)So
(A+B) = 1and(B-A) = -4, which gets usA = 5/2&B = -3/2
Strategy:
Look at the
Nominator&Dominator's degrees.If the dominator's degrees are higher or equal than the nominator, we do
Long division of polynomialto downgrade it.Try to
factorizethedominatorif you can.Assume two variables
A & BApply the
Partial Fraction Expansiontechnique.
Apply the basic
Log Ruleto solve the parts.
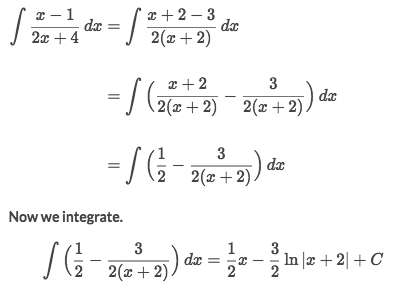
Example
Solve: 
Example
Solve: Refer to Symbolab. 
Last updated